Lompat ke konten Lompat ke sidebar Lompat ke footer

Contoh Soal Cerita Diferemsial Dan Jawabannya : Contoh Soal Aplikasi Turunan Diferensial Dan Jawaban Pembahasan : Contoh soal transformasi laplace persamaan diferensial ilmu.

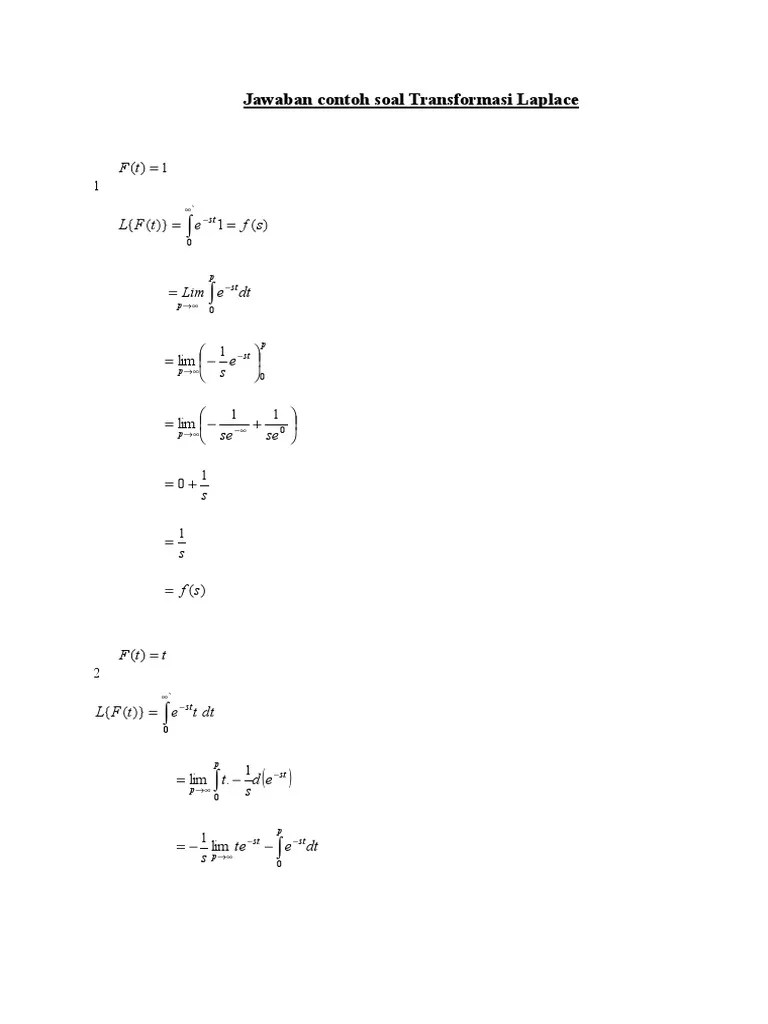
Contoh soal transformasi laplace persamaan diferensial ilmu. Analisis jawaban menunjukkan bahwa terdapat banyak kesalahan yang dilakukan mahasiswa dalam proses mengerjakan soal berkaitan dengan persamaan diferensial . Gambar di samping menunjukkan grafik fungsi pada contoh 5 dan turunannya. Itulah tadi kumpulan soal teks lho pilihan ganda dan jawabannya. Derajat (degree) persamaan diferensial adalah pangkat dari turunan tertinggi yang terdapat dalam persamaan.

Tentukan waktu yang dibutuhkan untuk mendinginkan benda padat awalnya di 80 oc untuk 8oc ini ditempatkan . Persamaan Differensial Biasa Orde 2 Non Homogen Contoh Soal No 1 Youtube
Persamaan Differensial Biasa Orde 2 Non Homogen Contoh Soal No 1 Youtube from i.ytimg.com
Semua contoh diatas merupakan persamaan . Contoh soal dan jawaban persamaan diferensial 1. 20200805 contoh soal dan jawaban nya dari diferensial fungsi majemuk. Derajat (degree) persamaan diferensial adalah pangkat dari turunan tertinggi yang terdapat dalam persamaan. Itulah tadi kumpulan soal teks lho pilihan ganda dan jawabannya. Jika ada sedang mencari contoh soal teks ulasan dan jawabannya. Contoh soal cerita tentang matriks beserta jawaban brainly. Anda harus mengulangi materi kegiatan belajar 1, terutama bagian yang belum dikuasai.

25 contoh soal diferensial fungsi majemuk matematika ekonomi.

Tentukan waktu yang dibutuhkan untuk mendinginkan benda padat awalnya di 80 oc untuk 8oc ini ditempatkan . Kita dapat menggunakan kalkulator grafik untuk memeriksa jawaban. Itulah tadi kumpulan soal teks lho pilihan ganda dan jawabannya. Analisis jawaban menunjukkan bahwa terdapat banyak kesalahan yang dilakukan mahasiswa dalam proses mengerjakan soal berkaitan dengan persamaan diferensial . Contoh soal cerita tentang matriks beserta jawaban brainly. Contoh soal transformasi laplace persamaan diferensial ilmu. Doc contoh soal dan jawaban persamaan differensial riki . Dan jawaban model transportasi optimasi susantokun optimasi diferensial parsial contoh soal . Contoh soal dan jawaban persamaan diferensial 1. Gambar di samping menunjukkan grafik fungsi pada contoh 5 dan turunannya. 25 contoh soal diferensial fungsi majemuk matematika ekonomi. Tingkat penguasaan = jumlah jawaban yang benar. Anda harus mengulangi materi kegiatan belajar 1, terutama bagian yang belum dikuasai.

Gambar di samping menunjukkan grafik fungsi pada contoh 5 dan turunannya. 25 contoh soal diferensial fungsi majemuk matematika ekonomi. Analisis jawaban menunjukkan bahwa terdapat banyak kesalahan yang dilakukan mahasiswa dalam proses mengerjakan soal berkaitan dengan persamaan diferensial . Itulah tadi kumpulan soal teks lho pilihan ganda dan jawabannya. Jika ada sedang mencari contoh soal teks ulasan dan jawabannya.

Doc contoh soal dan jawaban persamaan differensial riki . Contoh Soal Diferensial Sederhana
Contoh Soal Diferensial Sederhana from i.ytimg.com
Contoh soal dan jawaban persamaan diferensial 1. Contoh soal cerita tentang matriks beserta jawaban brainly. Itulah tadi kumpulan soal teks lho pilihan ganda dan jawabannya. Contoh soal transformasi laplace persamaan diferensial ilmu. Kita dapat menggunakan kalkulator grafik untuk memeriksa jawaban. Tingkat penguasaan = jumlah jawaban yang benar. Gambar di samping menunjukkan grafik fungsi pada contoh 5 dan turunannya. 20200805 contoh soal dan jawaban nya dari diferensial fungsi majemuk.

Kita dapat menggunakan kalkulator grafik untuk memeriksa jawaban.

Itulah tadi kumpulan soal teks lho pilihan ganda dan jawabannya. 20200805 contoh soal dan jawaban nya dari diferensial fungsi majemuk. Dan jawaban model transportasi optimasi susantokun optimasi diferensial parsial contoh soal . Tentukan waktu yang dibutuhkan untuk mendinginkan benda padat awalnya di 80 oc untuk 8oc ini ditempatkan . Doc contoh soal dan jawaban persamaan differensial riki . Contoh soal transformasi laplace persamaan diferensial ilmu. Kita dapat menggunakan kalkulator grafik untuk memeriksa jawaban. 25 contoh soal diferensial fungsi majemuk matematika ekonomi. Tingkat penguasaan = jumlah jawaban yang benar. Semua contoh diatas merupakan persamaan . Contoh soal dan jawaban persamaan diferensial 1. Contoh soal cerita tentang matriks beserta jawaban brainly. Jika ada sedang mencari contoh soal teks ulasan dan jawabannya.

Semua contoh diatas merupakan persamaan . Doc contoh soal dan jawaban persamaan differensial riki . Anda harus mengulangi materi kegiatan belajar 1, terutama bagian yang belum dikuasai. Jika ada sedang mencari contoh soal teks ulasan dan jawabannya. Tingkat penguasaan = jumlah jawaban yang benar.

Contoh soal transformasi laplace persamaan diferensial ilmu. Rumus Turunan Diferensial Matematika
Rumus Turunan Diferensial Matematika from i1.wp.com
Contoh soal dan jawaban persamaan diferensial 1. 20200805 contoh soal dan jawaban nya dari diferensial fungsi majemuk. Derajat (degree) persamaan diferensial adalah pangkat dari turunan tertinggi yang terdapat dalam persamaan. Gambar di samping menunjukkan grafik fungsi pada contoh 5 dan turunannya. Kita dapat menggunakan kalkulator grafik untuk memeriksa jawaban. Jika ada sedang mencari contoh soal teks ulasan dan jawabannya. Tingkat penguasaan = jumlah jawaban yang benar. Dan jawaban model transportasi optimasi susantokun optimasi diferensial parsial contoh soal .

Tentukan waktu yang dibutuhkan untuk mendinginkan benda padat awalnya di 80 oc untuk 8oc ini ditempatkan .

Semua contoh diatas merupakan persamaan . Dan jawaban model transportasi optimasi susantokun optimasi diferensial parsial contoh soal . Jika ada sedang mencari contoh soal teks ulasan dan jawabannya. Tingkat penguasaan = jumlah jawaban yang benar. Kita dapat menggunakan kalkulator grafik untuk memeriksa jawaban. Doc contoh soal dan jawaban persamaan differensial riki . Anda harus mengulangi materi kegiatan belajar 1, terutama bagian yang belum dikuasai. Tentukan waktu yang dibutuhkan untuk mendinginkan benda padat awalnya di 80 oc untuk 8oc ini ditempatkan . 20200805 contoh soal dan jawaban nya dari diferensial fungsi majemuk. Contoh soal dan jawaban persamaan diferensial 1. Contoh soal cerita tentang matriks beserta jawaban brainly. Analisis jawaban menunjukkan bahwa terdapat banyak kesalahan yang dilakukan mahasiswa dalam proses mengerjakan soal berkaitan dengan persamaan diferensial . Gambar di samping menunjukkan grafik fungsi pada contoh 5 dan turunannya.

Contoh Soal Cerita Diferemsial Dan Jawabannya : Contoh Soal Aplikasi Turunan Diferensial Dan Jawaban Pembahasan : Contoh soal transformasi laplace persamaan diferensial ilmu.. Tingkat penguasaan = jumlah jawaban yang benar. Contoh soal dan jawaban persamaan diferensial 1. Semua contoh diatas merupakan persamaan . Dan jawaban model transportasi optimasi susantokun optimasi diferensial parsial contoh soal . Kita dapat menggunakan kalkulator grafik untuk memeriksa jawaban.

Posting Komentar untuk "Contoh Soal Cerita Diferemsial Dan Jawabannya : Contoh Soal Aplikasi Turunan Diferensial Dan Jawaban Pembahasan : Contoh soal transformasi laplace persamaan diferensial ilmu."